什么是相電流?線電流與相電流的關系圖解
三相電源中流過每相負載的電流為相電流,用IAB、IBC、ICA表示。
對于星型接法的電動機,相電流等于線電流,對于三角形接法的電動機,線電流等于根號3相電流 在星形聯接的負載中,流過端線的線電流等于流過負載的相電流,流過中線的中線電流等于各相電流的矢量和。
在三角形聯接的負載中,相電壓等于線電壓(各相負載兩端的電壓仍稱為相電壓)。一般總是三相負載對稱的才接成三角形接法,此時三個線電流對稱,三個相電流也對稱,線電流等于相電流的“根號3”倍。
如果三相負載不對稱的三角形聯接,則線電流和線電流、相電流和相電流以及線電流和相電流之間的關系要據實計算,計算中要知道各相負載的性質,求得電流、電壓之間的相位差,再按照矢量求和的法則求得線電流和相電流的關系。
線電流與相電流的關系圖解:
1.星形聯結(Y接)
相電流:各相電壓源中的電流。
線電流:火線(端線)中的電流。

星形聯結(Y接)的(電源或負載):線電流等于相電流。
2.Δ接對稱負載線電流和相電流的關系

三相電源對稱,線電壓(即負載相電壓)對稱。

若三相負載對稱,則負載相電流也對稱。

相電流對稱,線電流也對稱。

結論:對△接法的對稱三相電源(負載):
(1)相電流對稱,則線電流也對稱。
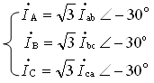
(2)線電流大小等于相電流的倍√3倍,
。
(3)線電流相位滯后對應相電流(用相電流的第一個下標字母標出)30度。
